十八年专注考研辅导
因为专注,所以出色

0371-60904200 全国咨询热线服务

您所在的位置 :

首页 > 院校库 > 复试信息 >

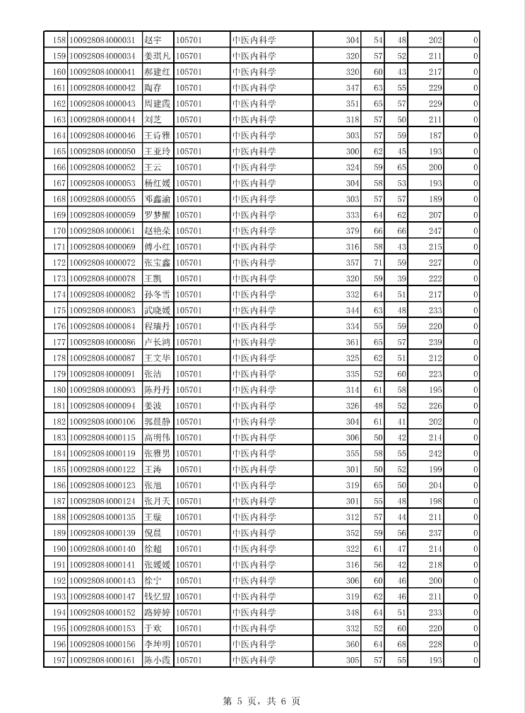
2018年河北北方学院硕士研究生招生一志愿考生复试名单

来源:天任教育 | 更新时间:2020-06-05


免责声明:本站所提供的内容均来源于网友提供或网络搜集,由本站编辑整理,仅供个人研究、交流学习使用,不涉及商业盈利目的。如涉及版权问题,请联系本站管理员予以更改或删除。邮箱:箱:zzqihangpx@163.com 电话:0371-60903400
使用声明:
1.本站的信息主要来源于各研招单位招生网及对外公开的数据、国家官网公布的数据。
2.本站历年高校数据仅供考生参考,如各招生数据与院校公布数据不一致,请以各高校正式公布的数据为准。

报考信息


备考指南


院校对比

未添加对比

最多4个 清空

开始对比

报名咨询电话:0371-60904200
Copyright©2006-2020  郑州市天任教育科技有限公司 豫ICP备2024092498号

免责声明:本站所提供的内容均来源于网友提供或网络搜集,由本站编辑整理,仅供个人研究、交流学习使用,不涉及商业盈利目的。如涉及版权问题,请联系本站管理员予以更改或删除。电话:0371-60904200